SONNE

 

Der Stern der uns am nächsten ist, die Sonne, befindet sich in ca. 150 Millionen Kilometer Entfernung zur Erde, hat einen Druchmesser von etwa 1,4 Millionen Kilometer und ist auf der im Augenlicht sichtbaren Oberfläche ca. 5700 Kelvin heiß.  

 

Bei der Radiostrahlung der Sonne, die mit Amateurmitteln empfangen werden kann, handelt es sich hauptsächlich um thermische Strahlung der Sonnen-Chromosphäre (Zentimeter- und Dezimeterwellen) und der Sonnen-Korona (Meterwellen). Je höher die Beobachtungsfrequenz ist die man wählt, desto weniger wird die Strahlung aus den unteren Sonnenschichten von den darüber liegenden absorbiert, so dass man immer tiefer in die Sonnenatmösphäre hineinschauen kann. Für eine ruhige Sonne stammt beispielsweise die Strahlung im Bereich der Dezimeterwellen (UKW) aus der Übergangsschicht zwischen Chromosphäre und Korona.

 

Die Radiostrahlung der Sonne hat demnach bei unterschiedlichen Frequenzen jeweils andere Entstehungsorte. Dabei nimmt die Höhe der Strahlungsquelle über der mit dem freien Auge sichtbaren Sonnenoberfläche zu kleineren Wellenlängen hin ab. Das führt dazu, dass der scheinbare Durchmesser der Sonne als Strahlungsquelle bei niedrigen Frequenzen größer ist als bei hohen Frequenzen. Führt man eine Temperaturbestimmung der Strahlungsquelle an Hand der Radiostrahlung durch zeigt sich, dass die langwellige Strahlung aus den äußeren Atmosphärenschichten der Sonne auf sehr heiße Quellgebiete, heißer als die oben genannten 5700 Kelvin, schließen läßt. 

 

Allerdings ist die sichtbare Sonnenscheibe mit einem scheinbaren Durchmesser von ca. 32 Bogenminuten, also etwas mehr als ein halbes Grad, nur gut ein Sechstel so groß wie die Antennenkeule einer knapp 2 Meter durchmessenden Sat-Schüssel, die bei  einer Empfangsfrequenz von 11 GHz  einen Öffnungswinkel von etwa 3 Grad aufweist. in diesem Fall wird von der Antenne neben der gewünschten Sonnenstrahlung auch Radiostahlung aus einem größeren Bereich um die Sonnenscheibe herum empfangen. Soll die Richtwirkung unter Beibehaltung der Empfangsfrequenz verbessert werden, muß die Reflektorfläche vergrößert werden.  Das bedeutet für den ambitionierten Amateur einen erheblichen technischen Aufwand, den bis heute nur wenige Amateure weltweit auf sich genommen haben.

 

Eine jeweils immer nur kurzzeitige Aufzeichnung der Sonnenstrahlung, sprich der Sonnenaktivität, erscheint nicht sinnvoll, da die Sonnenemissionen auf unterschiedlichen Zeitskalen deutlichen Schwankungen unterworfen sind.

 

Die Intensität der von der Sonne empfangenen Radiostrahlung schwankt im Verlauf einiger Tage bis vieler Monate. Der konstante Anteil entspricht der stets vorhandenen Strahlung der ruhigen Sonne, während der veränderliche Anteil von Aktivitätsgebieten (Sonnenflecken, Fackeln oder CME´s) auf der Sonne herrührt. Diese Veränderungen schwanken unter anderem in einem ca. 11 jährigen Zyklus.

 

Berichte über simple Empfangsapparaturen für die Radiostrahlung der Sonne sind im Internet zu Hauf ermittlbar. Fast allen ist gemeinsam, dass keine verbindlichen Aussagen über die Qualität der Apparatur getroffen wird und die Messergebnisse für Laien eher langweilig wirken. Erfrischend ist daher das Projekt Callisto. Die dort vorgestellte einfache Apparatur lässt Sonnenstürme über weite Frequenzbereiche sichtbar werden.   

 

Callisto ist für den breitbandigen Empfang von Radiowellen, deren Aufzeichung und Auswertung ausgelegt. Umfangreiche Infos gibt es hier http://www.astro.phys.ethz.ch/astro1/Users/cmonstei/instrument/callisto/ecallisto/applidocs.htm.

 

Messungen zur Ermittlung von Temperaturen in bestimmten Schichten der Sonnenatmosphäre erscheinen auch für den Amateur im Bereich des Möglichen zu liegen. Mittels handelüblicher TV-Satellitentechnik ist der Bereich zwischen 10 und 12 GHz leicht erreichbar. Der Bereich zwischen 400 und 800 MHz ist durch die Verwendung ausgedienter Richtantennen aus der ehemaligen analogen TV-Übertragung gut zugänglich. 

 

________________________________________________________________

 

hilfreiche Formeln zur Berechnung der Sonnentemperatur:

 

Raumwinkel Sonne:                                    

 

 

 

 

 

 Raumwinkel der Antenne: 

 

 

 

 

 

äquivalente Antennentemperatur, Quelle mit Hintergrund:  

 

 

 

 

  

 

äquivalente Antennentemperatur 

 

 

 

 

 

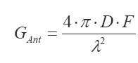
Antennengewinn:   

 

 

 

 

 

Sonnentemperatur:  

 

 

 

 

 

 

 

So gerüstet lässt sich die Temperatur am Ursprung der jeweils empfangenen und gemessenen Radiostrahlung berechnen. Da die Radiowellen oberhalb der tieferliegenden Photospäre emitiert werden entspricht die dortige Temperatur nicht der allgemein bekannten Sonnenoberflächentemperatur für das sichtbare Licht. Diese liegt bei etwa 5600 Kelvin. Die Radiowellen aus der Chromosphäre und den darüber liegenden Schichten zeugen von heißeren Prozessen. Je nach Wellenlänge und Aktivität der Sonne herrschen dort Temperaturen von mehreren 1000 bis hin zu einigen 100.000 Kelvin. 

 

Bei http://vk1od.net/calc/qsrf/ war nachzulesen, dass in etwa folgende Zusammenhänge zwischen der Lage der Schicht in der Sonnenatmosphäre und der Wellenlänge der abgegebenen Radiostrahlung bestehen:

 

Ursprung der Radiowellen:                   Wellenlänge:           Frequenz 

 

untere Chromosphäre                          1,9 - 3.4 cm           15,4 - 8,8 GHz 

 

mittlere Chromosphäre                         6   -   11 cm           5    -  2,8 GHz 

 

obere Chromosphäre                           22   -  73 cm         1,4 - 0,4 GHz            

untere Korona                                    120 cm                   245 MHZ 

 

obere Korona                                     400 - 1200 cm         75 - 25 MHz 

 

Auf der Website von National Oceanic and Atmospheric Administration, kurz NOAA werden laufend die aktuellen Zahlen zum solaren Strahlungsfluss auf neun verschiedenen Frequenzen zwischen 245 MHz und 15400 MHz veröffendlicht. VK1OD errechnet daraus mittels einer Spline-Interpolation eine gute Näherung für den solaren Radiofluss auf den zwischen den gemessenen Knotenpunken liegenden Frequenzen, insbesondere auf den Frequenzen, die für den Amateurfunk reserviert sind. 

 

Die jeweils aktuellen Werte für den solaren Radiofluss können sehr gut dazu benutzt werden um die selbst gewonnenen Messergebnisse zu überprüfen. Im Anhang bei der Linkliste befindet sich ein Link der zu einer entsprechenden Tabellenkalkulation führt. Dort können in eine Rechentabelle die selbst ermittelten Werte des eigenen Empfangssystems eingetragen werden. Die Rechentabelle zeigt dann sowohl die Sonnentemperatur aus der eigenen Messung wie auch die Sonnentemperatur aus dem jeweils veröffentlichten Solar Flux zum Vergleich.

Frühjahr 2014.